濕度傳感器的特性參數主要有:濕度量程、靈敏度、溫度系數、響應時間、濕滯回差、感濕特征量一一相對濕度特性曲線等。濕度敏感器件的感濕特征量是隨環境相對濕度而變化的。當環境濕度發生變化時,濕度敏感器件將隨之而產生吸濕或脫濕以及動態平衡過程。完成這一過程需要一定的時間,不同的濕度敏感器件完成這一過程所需要的時間是不同的。濕度敏感器件的響應時間就是表示器件完成這一過程所需時間的特性參數。感濕特征量的變化滯后于環境濕度的變化,這一現象稱為滯后現象。
濕度敏感器件的響應時間 ,就其含義而言 ,應當是在規定的環境溫度下,環境由起始相對濕度瞬時達到終止相對濕度時,器件的感濕特征量由起始值改變到終止相對濕度時的對應值所需要的時間。顯然,一個性能 良好的器件,其響應時間 越短越好。
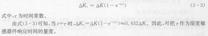
實踐證明,當環境相對濕度改變A打時,如果濕度敏感器件感濕特征量相應的改變量為 △K, 那么在響應過程中某個時刻:感濕特征量的改變量 △Kt為
在實際生產中,通常對響應時間 τ作如下規定:如果器件由某起始相對濕度環境瞬時置人某終止相對濕度環境,其感濕特征量的改變量應為△K,當感濕特征量由起始值變化到改變量為0. 632△K時所經過的時間 ,即定義為器件的響應時間。器件的響應時間是與環境的起始和終止相對濕度密切相關的,否則響應時間就失去其應有的意義。
圖3-4給出了K2O- Fe2O3濕度敏感器件的響應特性曲線。由圖3 -4可知,器件在吸濕和脫濕兩種情況下的響應時間是不一樣的。因此,在標明器件的響應時間時, 除指明起始和終止相對濕度外,還應區別吸濕和脫濕情況,最好分別予以注明。在二者差別甚微時,方可統一表示。






