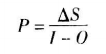
償還期限通常可按下式計算:
式中P-償還期(年):
△s—增大的一次投資費(萬元);
I—全年的收人(萬元);
O-全年的生產支出費用(萬元)。
在計算一次投資費用時,不應只計及蓄冷設施的購置費用,還應考慮到制冷設備、供變電設備安裝容量減少而導致的投資費用的降低、設備安裝占用場地的費用等。總之,計算增大的一次投資費用,一定得把涉及投資方案的所有直接有關方面的投資增減費用都考慮進去。至于式中的分母部分,對于蓄冷裝置評估,則是指不采用冰蓄冷方案時,與采用冰蓄冷方案時全年預期的達行費用差值,即由于電費的節省而引起的全年現金支出的凈減少。

償還期限法僅是一種粗略的簡便評估方法,它并沒有考慮到很多更深層次的因素。比如,就蓄冷空調而言,當蓄冷空調的投資成為一個賓館正常營業的必要前提的情況下,即當白天電力供應面臨無情的限拉電的威脅時,如果不采取蓄冷措施以維持白天正常供冷,賓館的營業額也許會立即下降,從而在生產費用并未等量降減的情況下導致收入的嚴重損失。像這樣,如果討論中的方案乃屬企業從事其他經濟活動的必要前提條件,則在評估作為前提條件的方案時,不僅應考慮其本身可能得到的全部收益,而以還應把取決于前者方案的某些別的經濟活動所可能獲得的收益也考慮進去。有時,即使方案在孤立地評價時償還期限較長,利潤率很低,甚至是負位,但實際上它可能會因促進了別的盈利活動的實施而獲得很高的利潤率。
總之,有一個法則要遵循,即假使有一組互為依存的項目,其投資的總利潤具有足夠的吸引力,則資金的分配應該首先投放到作為前提條件的項目。






