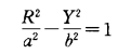
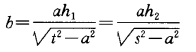
自然通風逆流濕式冷卻塔的塔簡,現在幾乎都作成雙曲線形,如圖3-1所示,其方程為
塔的尺寸一般應滿足以下的關系高度H與底部直徑D之比H/D= 1. 2~1.4喉部面積與底部面積之比為0. 3~0. 36;喉部高度與塔高之比為0.8~0.85;喉部以上擴散角為80~100。大風時,大的擴散角會引起塔外冷空氣從迎風面向塔內倒灌。為防止自然風的不利影響,有些塔將出口作成收口形。收口形塔雖然在大風時不會引起冷空氣向塔內倒灌,但收口使塔內壓力增大,因而使塔的通氣量變小。現在有些塔在喉部以上的塔簡內壁作成直簡形,外壁仍保持一定的擴散角,當有自然風時,外壁擴散,能在塔頂部產生負壓。對塔的抽風有利。,塔筒出風口內、外壁用不同角度,如內壁用6°~7°,外壁用9°多,這樣效果比較好。
關于塔的進風口高度的選擇可參見圖3-3。該圖的試驗結果橫坐標為塔的進風口相對高度,即進風口面積與填料斷面積之比,縱坐標為從進風口到塔喉部以下的阻力系數(不淋水),圖中曲線的填料阻力系數為15。從圖可以看出,進風口相對高度取0. 4左右比較合適,因為再小阻力增加很快,再大阻力減小不多。
塔筒支承大多采用人字柱,進風口高度小時也可采用直立柱;進風口高度很大時,可采用交叉柱。柱的橫斷面大多采用回形(我國過去多采用方柱,現在也向圓柱轉變),或者采用橢圓形以減小氣流阻力。進風口上掩也向流線形發展,以減小進風口上檐內側的氣流分離。
塔筒材料一般用鋼筋棍凝土,也有用鋼骨架、外加其他材料護面的,如圖3-4所示,此圖為鋼骨架、外加纖維織物護面的新型塔體。






